NetSim v14.4 Help

Contents:

  • Introduction
  • Simulation GUI
    • Create Scenario
      • Fast Configuration
      • Wireless Sensor Networks
      • Internet of Things
      • Differences between IoT and WSN in NetSim
      • Device Attributes
    • Set Node, Link and Application Properties
      • Setting Static Routes
    • Configure Reports
      • Enable Packet Trace, Event Trace (Optional)
      • Enable protocol specific plots
      • Enable protocol specific logs
      • GUI Configuration Parameters
    • Run Simulation
  • Model Features
    • L3 Routing: DSR, OLSR, ZRP and AODV
    • L3 Routing: RPL Protocol
      • RPL Objective Function
      • Topology Construction
      • RPL Log File
      • Viewing RPL control messages in Wireshark
    • MAC / PHY: 802.15.4 Overview
      • CSMA/CA Implementation in NetSim
      • Beacon Order and Super Framer Order
    • Energy Models: Sources, Consumption and Harvesting
      • Energy Model source code
    • Sensor Application and how to model sensing interval?
    • WSN/IOT File Based Placement
      • Internet of Things
      • Wireless Sensor Networks
    • Radio measurements log file
      • Implementation details and Assumptions
    • Energy log file
    • Mobility Log File
    • Model Limitations
  • Featured Examples
    • IOT
      • Energy Model
      • Working of RPL Protocol in IoT
      • Modes of Operation in IoT RPL
      • DDOS attack in an IoT Network
    • WSN
      • Beacon Time Analysis
      • CAP Time Analysis
      • Static Routing in WSN
      • Analysing throughput, latency and energy consumption as we scale the number of sensors
  • IOT-WSN Experiments in NetSim
  • Reference Documents
  • Latest FAQs
NetSim v14.4 Help
  • Featured Examples

Featured Examples

Sample configuration files for all networks are available in the Examples Menu in NetSim Home Screen. These files provide examples on how NetSim can be used – the parameters that can be changed and the typical effect it has on performance.

IOT

Energy Model

Open NetSim, Select Examples->IOT-WSN->Internet of Things->Energy Model then click on the tile in the middle panel to load the example as shown in Figure-1.

_images/Figure-1.png

Figure-1: List of scenarios for the example of Energy Model

The following network diagram illustrates what the NetSim UI displays when you open the example configuration file.

_images/Figure-2.png

Figure-2: Network set up for studying the Energy Model

Settings done in sample network

  1. Grid is set to 1000 × 500 from grid setting property panel on the right. This needs to be done before the any device is placed on the grid.

  2. Click on LOWPAN Gateway and expand the right property panel, enable the Beacon Mode and change the Superframe Order to 12 and the Beacon Order to 12 under the Interface 1 (Zigbee) layer.

_images/Figure-3.png

Figure-3: Datalink layer Properties for Lowpan Gateway

  1. Click on sensor, go to physical layer in Interface (Zigbee) layer and change the power source to Battery.

  2. Click on link and open property panel on the right and set the channel characteristics  No pathloss in Ad hoc link Properties.

  3. Configure a sensor application between Sensor 2 and Wired node 4 from the Set Traffic tab in ribbon on the top.

  4. Enable the sleep energy vs time plot by clicking on configure reports tab > Plots and run the simulate for 50 sec.

  5. In Simulation metrics window, click on Additional metrics in the left panel and check the Battery model metrics, users should get zero value for Sleep energy (mJ) consumed.

  6. Go back to Simulation window change following properties in LOWPAN Gateway for another sample.

  7. Set Superframe Order (SO) and Beacon Order (BO) as 10 and 12 respectively (0 <= SO <= BO <= 14)

  8. Re-run the Simulate for 50 sec.

Results:

In the simulation results window click on additional metrics on the left and scroll down for the Battery model metrics for both the cases.

In Superframe order 12 and Beacon order 12 Sample, users can observe sleep energy consumed value will be zero in Battery model metrics since sensor is in active state all the time. i.e., if SO=12 and BO=12, there won’t be any inactive portion of the Superframe.

_images/Figure-4.png

Figure-4: Battery Model Table for SO=12 & BO=12

Similarly, Open the Sleep energy vs time plot from simulation results window, compare the sleep energy consumed by sensor over the simulation time for both cases when SO =12 and BO =12 and SO =10 and BO =12.

_images/Figure-5.png

Figure-5: The above plot shows the sleep energy consumed when SO=12 and BO=12. The sleep energy consumed is zero since there is no inactive portion in the beacon interval, and the sensors remain active throughout beacon interval.

In Superframe order 10 and Beacon order 12 Sample, sleep energy consumed will be non-zero since sensor goes to sleep mode during the inactive portion of the Superframe.

_images/Figure-6.png

Figure-6: Battery Model Table for SO=10 & BO=12.

_images/Figure-7.png

Figure-7: In the above plot, we observe that sleep energy remains zero when SO=10 and BO=12 during the active period, i.e., till 15728.64 ms. After this period, sleep energy consumption increases linearly due to the inactive portion of the super frame.

Working of RPL Protocol in IoT

Open NetSim, Select Examples->IOT-WSN->Internet of Things->Working of RPL Protocol in IoT then click on the tile in the middle panel to load the example as shown in Figure-8.

_images/Figure-8.png

Figure-8: List of scenarios for the example of Working of RPL Protocol in IoT

The following network diagram illustrates, what the NetSim UI displays when you open the example configuration file.

_images/Figure-9.png

Figure-9: Network set up for studying the Working of RPL Protocol in IoT

Settings done in sample network:

  1. Set grid length as 120 × 60m from grid setting property panel on the right. This needs to be done before the any device is placed on the grid.

  2. Click on LOWPAN Gateway or sensor. In the right property panel, change the routing protocol to RPL under network layer as shown Figure-10.

_images/Figure-10.png

Figure-10: Routing Protocol to RPL in Network layer

  1. Click on link, expand the right property panel change Channel characteristics 🡪 Path Loss only, Path Loss Model 🡪 Log Distance and path loss exponent 🡪 3.5 .

  2. Configure sensor applications as shown in the below table by clicking on set traffic tab from the ribbon on the top.

Application Properties

Application ID

Application Type

Source Id

Destination Id

1

SENSOR APP

1

8

2

SENSOR APP

3

8

3

SENSOR APP

5

8

Table-1: Application properties

Procedure to get detailed RPL log file:

  • Go to help option in the title bar.

  • Click on Open Source code.

  • Go to the RPL Project in the Solution Explorer. Open RPL.h file and change //#define DEBUG_RPL to #define DEBUG_RPL as shown below Figure-9.

_images/Figure-11.png

Figure-11: Visual Studio

  • Right click on the RPL project in the solution explorer and click on rebuild.

  • After the RPL project is rebuilt successfully, go back to the network scenario.

  1. Enable the Application throughput vs time and Link throughput vs time plots under plots in configure reports tab and run simulation for 100 sec and go to Result window 🡪 Logs, open rpl log file.

_images/Figure-12.png

Figure-12: Simulation Result window Results

_images/Figure-13.png

Figure-13: RPL log file

Note:

Detailed information of the RPL log file is available for the standard version of NetSim. For academic users, the rank value can be observed by enabling Wireshark and also python script is available to know the parent and sibling information.

Please find the below link to download and run the python utility: https://support.tetcos.com/support/solutions/articles/14000134056-how-to-visualize-the-rpl-dodag-in-netsim-iot-simulations-

The observations of rpl log file which is generated in NetSim is given in the below Table-2.

Node

Rank

Updated Rank

Parent list

Updated Parent Node ID

Sibling Node ID

Received DIO From Node ID

Node

30

27

Node 2, Node 4

Node 2

Node 3

Node 2, Node 3, Node 4

Node 2

15

15

Node 6

Node 6

Node 4

Node 4, Node 6

Node 3

28

28

Node 2, Node 4, Node 5

Node 4

Node 1

Node 1, Node 2, Node 4, Node 5

Node 4

15

15

Node 6

Node 6

Node 2

Node 2, Node 6

Node 5

27

27

Node 4

Node 4

Node 4

Table-2: RPL Log file contains Rank, Updated Rank, parent list, Updated Parent Node ID, Sibling Node ID and Received DIO From Node ID etc.

DIO message is sent by the root node, i.e. LowPAN Gateway, with Rank 1 to Sensor 2 and Sensor 4 as shown Figure-14.

_images/Figure-14.png

Figure-14: DIO messages sent by the LOWPAN Gateway to Sensors

On receiving the DIO message, Node 4 will recognize the DODAG Id of Root Node and identifies it as Parent node. Rank of Node 4 will get updated to 15. Also, Node 2 is recognized as sibling of Node 4.

Now, node 4 will broadcast DIO message to other nodes as shown Figure-15.

_images/Figure-15.png

Figure-15: Wireless Sensor 4 broadcasting DIO message to other Sensors

Node 1 receives DIO message from Node 4 and it identifies the DODAG Id of Node 4. Hence, Node 1 recognizes Node 4 as the Parent Node. Rank of Node 1 will get updated to 30. As Node 3 is within the range of Node1, Node 3 is identified as a sibling of Node1.

Node 1 will then broadcast DIO messages as shown Figure-16.

_images/Figure-16.png

Figure-16: Wireless Sensor 1 broadcasting DIO message to other Sensors

Node 2 receives the DIO message from Node 6 and identifies it as Parent node. The Rank of Node 2 gets updated to 15. Node 2 now broadcasts the DIO message to other nodes as shown in Figure-17.

_images/Figure-17.png

Figure-17: Wireless Sensor 2 broadcasting DIO message to other Sensors

Node 3 receives DIO message from Node 4 and the rank of Node 3 gets updated to 28. Node 4 is identified as the parent node of Node 3.

Node 3 then broadcasts DIO message to other nodes as shown in Figure-18.

_images/Figure-18.png

Figure-18: Wireless Sensor 3 broadcasting DIO message to other Sensors

Node 5 receives DIO message from Node 3, hence, it identifies Node 4 as th parent node. The rank of Node 5 gets updated to 27.

Node 5 then broadcasts DIO message as shown in Figure-19

_images/Figure-19.png

Figure-19: Wireless Sensor 5 broadcasting DIO message to other Sensors

Further, Node 1 receives DIO message from Node 2 and the parent list of Node 1 gets updated to Node 4 and Node 2. Also, the rank of Node 1 gets updated to 27.

According to the link quality, DODAG is formed.

  • Node 2 and Node 4 are siblings and their parent is Node 6 (Root Node). Rank is 15.

  • Node 1 and Node 3 are siblings.

  • Node 1 established its parent as Node 2. Rank is 27.

  • Node 3 establishes its parent as Node 4. Rank is 28.

  • Node 5 doesn’t have any siblings and establishes its parent as Node 4. Its rank is 27.

_images/Figure-20.png

Figure-20: Based on link quality, DODAG is formed and Rank assigned to sensors and lowpan gateway

Modes of Operation in IoT RPL

The DODAG nodes process the DAO messages according to the RPL Mode of Operations (MOP), which are presented below. Independent of the MOP used, DAO messages may require reception confirmation, which should be done using DAO-ACK messages.

Although it is designed for the Multipoint-to-Point (MP2P) traffic pattern, RPL also admits the data forwarding using Point-to-Multipoint (P2MP) and Point-to-Point (P2P). In MP2P, the nodes send data messages to the root, creating an upward flow as shown in Figure-21. In P2MP, sometimes termed as multicast, the root sends data messages to the other nodes, producing a downward flow depicted in Figure-23.

In P2P, a node sends messages to the other node (non-root) of DODAG; thus, both upward and downward forwarding may be required as illustrated in Figure-22. RPL defines four MOPs that should be used considering the traffic pattern required by the application and the computational capacity of the nodes. In the first, MOP 0 (Point to multipoint), RPL does not maintain downward routes; thus, consequently, only MP2P traffic is enabled. In storing without multicast MOP (MOP 2 (Point to point)), downward routes are also supported, but are different from MOP 1; the nodes maintain, individually, a routing table constructed using DAO messages to provide downward traffic. Hence, downward forwarding occurs without the use of the root node, as illustrated in Figure-24 Storing with multicast has a functioning similar to MOP 2 (Point to point) plus the possibility of multicast data sending. This type of transmission permits the non-root node to send messages to a group of nodes formed using multicast DAOs.

Figure 21

Figure-21: Multipoint to Point

Figure 22

Figure-22: Point to Point

Figure 23

Figure-23: Point to Multipoint

Figure 24

Figure-24: RPL Storing Mode

Open NetSim, Select Examples->IOT-WSN->Internet of Things->Mode of Operations IoT RPL then click on the tile in the middle panel to load the example as shown in Figure-25.

_images/Figure-25.png

Figure-25: List of scenarios for the example of Mode of Operations IoT RPL

The following network diagram illustrates, what the NetSim UI displays when you open the example configuration file.

_images/Figure-26.png

Figure-26: Network set up for studying the Mode of Operations IoT RPL

Multipoint to Point

Settings done in sample network

  1. Set grid length as 200 × 100m from grid setting property panel on the right. This needs to be done before the any device is placed on the grid.

  2. Routing protocol has been set as RPL for LOWPAN Gateway and Sensor. Click on device , expand the right-side property panel and go to Network Layer set Routing Protocol as shown in Figure-27.

_images/Figure-27.png

Figure-27: Routing Protocol to RPL in Network layer

  1. Click on the link, expand the right-side property panel, and set the channel characteristics to 'Path Loss Only’. Then, set the path loss model to 'Log Distance' and the path loss exponent to 4.2.

  2. Configure sensor applications as shown in the below table by clicking on set traffic tab from the ribbon on the top.

Application Properties

Application ID

Application Type

Source Id

Destination Id

1

SENSOR APP

1

11

2

SENSOR APP

3

11

3

SENSOR APP

8

11

Table-3: Application properties

  1. In NetSim GUI Packet Traces and Plots are Enabled. Run simulation 100s and observe that all the sensors are sending data to route node in packet trace.

Result

Packet trace: The nodes send data messages to the root, creating an upward flow which can be observed in the packet trace. Once the simulation is completed, to view the packet trace file, click on “Packet Trace” under Traces option present in the left-hand-side of the Simulation Results Dashboard and filter the PACKET TYPE to Sensing. you can observe the flow of Sensor Application packets as shown in Figure-28.

_images/Figure-28.png

Figure-28: Packet Trace for Multipoint to Point

Point to Multipoint

Settings done in sample network

  1. Set the all the properties same as Multipoint to Point scenario

  2. Configure sensor applications as shown in the below table by clicking on set traffic tab from the ribbon on the top.

Application Properties

Application ID

Application Type

Source Id

Destination Id

1

SENSOR APP

11

1

2

SENSOR APP

11

3

3

SENSOR APP

11

8

Table-4: Application properties

  1. Run simulation 100s and observe that all the sensors are sending data to route node in packet trace.

Result

Packet trace: Root sends data messages to the other nodes, producing a downward flow which can be observed in the packet trace. Once the simulation is completed, to view the packet trace file, click on “Packet Trace” under Traces option present in the left-hand-side of the Simulation Results Dashboard and filter the PACKET TYPE to Sensing, you can observe the flow of Sensor Application packets as shown below:

_images/Figure-29.png

Figure-29: Packet trace for Point to Multipoint

Point to Point

Settings done in sample network

  1. Set the all the properties same as Multipoint to Point scenario.

  2. Configure sensor applications as shown in the below table by clicking on set traffic tab from the ribbon on the top.

Application Properties

Application ID

Application Type

Source Id

Destination Id

1

SENSOR APP

1

5

Table-5: Application properties

  1. Run simulation 100s and observe that all the sensors are sending data to route node in packet trace.

Result

Packet trace: Root sends data messages to the other nodes, producing a downward flow which can be observed in the packet trace. Once the simulation is completed, to view the packet trace file, click on “Packet Trace” under Traces option present in the left-hand-side of the Simulation Results Dashboard and filter the PACKET TYPE to Sensing, you can observe the flow of Sensor Application packets as shown below:

_images/Figure-30.png

Figure-30: Packet trace for Point to Point

Storing Mode

Settings done in sample network

  1. Set the all the properties same as Multipoint to Point scenario.

  2. Configure sensor applications as shown in the below table by clicking on set traffic tab from the ribbon on the top.

Application Properties

Application ID

Application Type

Source Id

Destination Id

1

SENSOR APP

1

5

Table-6: Application properties

  1. Run simulation 100s and observe that all the sensors are sending data to root node in packet trace.

Result

In storing without multicast MOP (MOP 2 (Point to point)), downward routes are also supported, but are different from MOP 1 (Point to multipoint); the nodes maintain, individually, a routing table constructed using DAO messages to provide downward traffic. Hence, downward forwarding occurs without the use of the root node. The results can be analyzed from the packet trace.

Packet trace: Once the simulation is completed, to view the packet trace file, click on “Packet Trace” under Traces option present in the left-hand-side of the Simulation Results Dashboard and filter the PACKET TYPE to Sensing, you can observe the flow of Sensor Application packets as shown below.

_images/Figure-31.png

Figure-31: Packet trace for RPL Storing Mode

DDOS attack in an IoT Network

Introduction

A DoS (Denial of Service) attack in IoT (Internet of Things) involves overwhelming a device or network with traffic to disrupt its normal operation and deny service to legitimate users. This can be achieved by flooding the network with a large volume of traffic or sending packets with malformed headers to exploit vulnerabilities in the target system. The impact of a DOS attack on an IoT device or network can be significant, as many IoT devices have limited processing power and memory resources. As a result, they may not be able to handle the large volume of traffic generated by the attack, leading to service disruptions or even device failures. When multiple attackers coordinate a DoS attack, it is known as a DDoS (Distributed Denial of Service) attack.

Botnet Attack

A botnet attack in IoT (Internet of Things) is a type of cyber-attack where a network of compromised IoT devices, such as smart home appliances, security cameras, and routers, is used to carry out malicious activities. In a botnet attack, a hacker gains control of a large number of IoT devices, often through exploiting vulnerabilities or weak security measures, and uses them to launch coordinated attacks.

Once a hacker has control of a botnet, they can carry out a variety of malicious activities, including:

  • DDoS attacks: A distributed denial-of-service (DDoS) attack floods a website or network with traffic, making it unavailable to legitimate users.

  • Data theft: A hacker can use a botnet to steal sensitive data, such as financial information or personal data, from devices on the network.

  • Spamming: A botnet can be used to send large volumes of spam emails or messages.

  • Crypto mining: A hacker can use a botnet to mine cryptocurrency using the processing power of compromised devices.

Bit-and-piece Attack

A "bit and piece" DDoS attack in an IoT network is a type of Distributed Denial of Service (DDoS) attack that targets Internet of Things (IoT) devices by sending small amounts of traffic to a large number of devices. This type of attack is also known as a low-rate DDoS attack.

In a bit-and-piece attack, the attacker sends a small amount of traffic to multiple IoT devices, such as smart home appliances, security cameras, or routers. The traffic may include a range of packet types, such as TCP, UDP, and ICMP, and the packets may be sent intermittently over a long period of time. Because the traffic is distributed across many devices, each individual device receives a small amount of traffic that is difficult to distinguish from legitimate traffic. However, when combined, the traffic overwhelms the network and causes a denial of service for legitimate users trying to access the network.

Network Setup for Botnet Attack

Case 1: Without Malicious Node (No attacker)

In NetSim, click on Examples > IOT-WSN > DDoS attack in an IOT Network

_images/Figure-32.png

Figure-32: List of scenarios for the example of DDoS attack in an IOT Network.

  • Drop 9 Sensors, 1 LOWPAN gateway, 1 router, and 1 wired node(Server) as shown in the figure.

  • Click on the sensor, expand the property panel on right and set the routing protocol to RPL.

  • Click on link and expand the link property panel on right and set the channel characteristics to path loss and Pathloss model is set to Log Distance with Pathloss exponent 4.5.

  • Configure sensor traffic from all sensors to server by clicking on set traffic tab in ribbon on top, such that the packets are transmitted to the gateway via sensor 9. The traffic rate is low; it is 20 packets per second. Set Transport Protocol to UDP, Packet size = 50 Bytes and IAT (µs) = 50000

  • Run the simulation for 100 seconds and measure the throughput obtained by sensors 1 through 8.

Case 2: With a Malicious Node (DoS attack node)

_images/Figure-33.png

Figure-33 : Network setup for 1 malicious node

  • Configure traffic from all sensors 1 through 8 such that the packets are transmitted to the gateway via sensor 9. The traffic rate is low; it is 20 packets per second. Set Transport Protocol to UDP, Packet size = 50 Bytes and IAT (µs) = 50000

  • Add a malicious node. Configure traffic such that packets are transferred via sensor 9. This has a "high" generation rate to flood the network; it is 1000 packets per second. Set Packet size = 50 Bytes and IAT (µs) = 1000

  • Run the simulation for 100 seconds and measure the throughput obtained by sensors 1 through 8.

Results and Observation

Application

Case 1 - Normal Operation

Throughput (Mbps)

Case 2 - DoS Attack

Throughput (Mbps)

Sensor 1

0.003789

0.000712

Sensor 2

0.001201

0.000192

Sensor 3

0.004383

0.00076

Sensor 4

0.007476

0.001221

Sensor 5

0.005849

0.003633

Sensor 6

0.004195

0.003338

Sensor 7

0.001424

0.001544

Sensor 8

0.006226

0.004386

Malicious Node

N/A

0.014886

Sum Throughput (Mbps) Sensor 1 through 8

0.034543  (34.54 Kbps)

0.015786 (15.78 Kbps)

Table-7 : Application Throughput for Case1 and Case 2.

From table, we observe that the introduction of the malicious node led to a more than 50% drop in throughput, from 34.54 Kbps to 15.78 Kbps.

In NetSim, Click on Examples > IOT-WSN > DDoS attack in an IOT Network

Case 1: Without Malicious Node (No attacker)

_images/Figure-34.png

Figure-34 : Network setup for normal scenario

  • Drop 10 sensors, 1 LOWPAN Gateway, Router and 1 Wired node (server) as shown in the figure.

  • Click on the sensor, expand the property panel on right and set the routing protocol to RPL.

  • Click on link and expand the link property panel on right and set the channel characteristics to path loss and Pathloss model is set to Log Distance with Pathloss exponent 4.5.

  • Configure 9 applications. Each application is from a sensor (1, 2, …, 9) to the server, such that packets of size 50 Bytes are sent at a rate of 20 packets/ sec. Set Transport Protocol to UDP, Packet size = 50 Bytes and IAT (µs) = 50000

  • The network topology and routing are such that traffic from all sensors flow through relay (sensor 10), and then to the gateway and onwards to the server.

  • Run the simulation for 100 seconds and measure the throughput obtained by sensors 1 through 9.

We then simulate 3 attack cases.

_images/Figure-35.png

Figure-35 : Case 2 - 1 malicious node

_images/Figure-36.png

Figure-36 : Case 3 - 2 malicious nodes

_images/Figure-37.png

Figure-37 : Case 4 – 3 malicious nodes

Case 2: Add 1 malicious node (wired). Configure custom traffic from malicious node to all sensors (1, 2, …, 9). Packets of size 10 Bytes (representing a small amount of attack data) are sent at a rate of 20 packets/sec exponentially. Set Transport Protocol to UDP, Packet Size =10 Bytes and exponential distribution for IAT (µs) = 50000.

Case 3: Add 2 malicious nodes (wired). Configure custom traffic from 2 malicious nodes to all sensors (1, 2, …, 9). Packets of size 10 Bytes (representing a small amount of attack data) are sent at a rate of 20 packets/sec exponentially. Set Transport Protocol to UDP, Packet Size =10 Bytes and exponential distribution for IAT (µs) = 50000.

Case 4: Add 3 malicious nodes (wired). Configure custom traffic from 3 malicious nodes to all sensors (1, 2, …, 9). Packets of size 10 Bytes (representing a small amount of attack data) are sent at a rate of 20 packets/sec exponentially. Set Transport Protocol to UDP, Packet Size =10 Bytes and exponential distribution for IAT (µs) = 50000

Run the simulation for 100 seconds and measure the throughput obtained by sensors 1 through 9 in each case.

Results and Observation

Application

Case 1: Normal Operation Throughput (Mbps)

Case 2: 1 - attacker node Throughput (Mbps)

Case 3: 2 - attacker nodes Throughput (Mbps)

Case 4: 3 - attacker nodes Throughput (Mbps)

Sensor 1

0.003577

0.002401

0.001968

0.001752

Sensor 2

0.000853

0.000672

0.000596

0.00048

Sensor 3

0.002185

0.001577

0.001445

0.001233

Sensor 4

0.007332

0.004942

0.003966

0.003546

Sensor 5

0.004501

0.003417

0.002724

0.002428

Sensor 6

0.004527

0.00317

0.002582

0.002242

Sensor 7

0.001184

0.000976

0.000788

0.000672

Sensor 8

0.006346

0.004406

0.003609

0.002953

Sensor 9

0.002189

0.001625

0.001329

0.001089

Sum Throughput (Mbps) of Legitimate Traffic

0.032694

(32.6 Kbps)

0.023186

(23.1Kbps)

0.019007

(19.1Kbps)

0.016395

(16.3Kbps)

Table-8 : Application Throughput for various cases.

We observe:

  • 25% drop in throughput of legitimate traffic with 1 bit-and-piece DDoS attack node.

  • 50% drop in throughput of legitimate traffic with 3 bit-and-piece DDoS attack nodes.

WSN

Beacon Time Analysis

Open NetSim, Select Examples->IOT-WSN->Wireless Sensor Networks->Beacon Time Analysis then click on the tile in the middle panel to load the example as shown in Figure-38.

_images/Figure-38.png

Figure-38: List of scenarios for the example of Beacon Time Analysis.

The following network diagram illustrates what the NetSim UI displays when you open the example configuration file.

_images/Figure-39.png

Figure-39: Network set up for studying the Beacon Time Analysis

Settings done in sample config file

  1. The following grid properties are already set, as Manually Via Click and Drop.

  2. In the SinkNode, the Super frame mode and Beacon mode are set to 10 and 12, respectively. To configure it, click on the SinkNode. On the right side, expand the property panel, go to the data link layer of the Interface (Zigbee) layer, and set the Superframe Order (SO) to 10 and the Beacon Order (BO) to 12.

_images/Figure-40.png

Figure-40: Setting Super frame and Beacon order in Sink node

  1. In the position layer of wireless sensors and the sink, the mobility model is set to Random way point.

  2. In Adhoc link properties change the channel characteristics as Path Loss only, Path Loss Model to Log Distance and path loss exponent as 2.

  3. Create sensor traffic between Wireless Sensor 1 and WSN Sink 3 from the Set Traffic tab in the top ribbon. Click on the created application, set the transport layer protocol to UDP, and leave the other properties as default.

  4. Enable Packet trace from the configure report tab in the ribbon on the top.

_images/Figure-41.png

Figure-41: Enabling the Packet trace in Configure Reports tab

  1. Run the simulation for 200 seconds.

Theoretical Beacon Time Calculation

  • Beacon Interval (BI)= Super Frame duration (SD) + Inactive Period (IP). The Super frame duration (SD) is also known as the Active period.

  • \(BI\ = \ aBaseSuperframe\ duration \times 2^{BO}\ = \ 15.36ms\ \times \ 2^{12}\ = \ 62914.56ms\ \sim\ 62s.\)

  • \(SD\ = \ aBaseSuperframe\ duration \times 2^{SO}\ = \ 15.36ms\ \times 2^{10}\ \ = \ 15728.64ms.\)

  • \(aBaseSuperframe\ duration\) is a constant defined by the standard and is equal to \(15.36\ ms\)

  • To find Inactive period,\(\ IP\ = \ BI\ - \ SD\ = \ 62914.56ms\ - \ 15728.64ms\ = \ 47185.92ms.\)

  • Super Frame duration is divided into 16 slots (1st slot is allocated for beacon frame).

  • Each slot time\(\ = \frac{15728.64ms}{16}\ = \ 983.04ms\)

NetSim Results:

  • Open packet trace and filter CONTROL PACKET TYPE to Zigbee BEACON FRAME, users should get four Zigbee beacon frames at 0, 62.9, 125.8, 188.7 secs (approx.) for each Sensor Node, because the time interval between two beacons frames is 62 seconds. Since we have 2 nodes so user can get 4 beacon frames for each node.

_images/Figure-42.png

Figure-42: Packet Trace showing the Zigbee beacon frames for each sensor nodes

  • 4 beacons were transmitted, so \(beacon\ time\ = \ 983.04ms \times \ 4\ = \ 3932.16millisec\ \)(since 1 beacon = 1 time slot). Check the beacon time in IEEE 802.15.4 metrics window.

CAP Time Analysis

Open NetSim, Select Examples->IOT-WSN->Wireless Sensor Networks->CAP Time Analysis then click on the tile in the middle panel to load the example as shown in Figure-43.

_images/Figure-43.png

Figure-43: List of scenarios for the example of CAP Time Analysis

The following network diagram illustrates, what the NetSim UI displays when you open the example configuration file.

_images/Figure-44.png

Figure-44: Network set up for studying the CAP Time Analysis

Settings done in example config file

  1. The following grid properties are already set, as Manually Via Click and Drop.

  2. In the SinkNode, the Super frame mode and Beacon mode are set to 10 and 12, respectively. To configure it, click on the SinkNode. On the right side, expand the property panel, go to the data link layer of the Interface (Zigbee) layer, and set the Superframe Order (SO) to 10 and the Beacon Order (BO) to 12

_images/Figure-45.png

Figure-45: Datalink layer Properties window for Sink node

  1. In the position layer of wireless sensors and the sink, the mobility model is set to Random way point.

  2. In Adhoc Link Properties change Channel characteristics -> Path Loss only, Path Loss Model -> Log Distance and path loss exponent -> 2.

  3. Create sensor traffic between Wireless Sensor 1 and WSN Sink 3 from the Set Traffic tab in the top ribbon. click on the created application, set the transport layer protocol to UDP, and leave the other properties as default

  4. Enable Packet trace from the configure report in the ribbon on the top.

  5. Run the Simulation for 100 sec.

Theoretical CAP Time Calculation

  • To find CAP time, BI is 62914.56ms -> So in 100s, two beacon frames should be transmitted at 0 & 62s.

  • Check no. of beacon frames transmitted in 802.15.4 metrics.

  • Here CFP = 0 because there is only 1 sensor.

  • \(CAP\ Time\ = \ SD\ - \ beacon\ time\ = \ (15728.64ms)\ - \ (983.04ms)\ = \ 14745.6ms.\)

  • Open packet trace and filter Control Packet Type to Zigbee Beacon Frame, users should get two ZigBee beacon frames at 0, 62.9secs, because the time interval between two beacon frames is 62 seconds. Since we have 2 nodes so user can get 2 beacon frames for each node.

  • Since two Beacon frames are transmitted,

\[CAP\ time\ = \ 2 \times \ 14745.6ms\ = \ 29491200µs.\]

NetSim Results:

  • In the NetSim simulation results window, click on Additional Metrics and scroll down to the IEEE 802.15.4 Metrics table. Compare the theoretical CAP time with the CAP time in the IEEE 802.15.4 Metrics table.

  • CAP time = 29491200.0000Microsec.

_images/Figure-46.png

Figure-46: IEEE802.15.4 Metrics Table in Results Windows

Static Routing in WSN

Open NetSim, Select Examples->IOT-WSN->Wireless Sensor Networks->WSN Static Route then click on the tile in the middle panel to load the example as shown in Figure-47

_images/Figure-47.png

Figure-47: List of scenarios for the example of WSN Static Route

The following network diagram illustrates, what the NetSim UI displays when you open the example configuration file.

_images/Figure-48.png

Figure-48: Network set up for studying the WSN Static Route

Case 01: Without Static Route

Settings done in the network

  • The following grid properties are already set, as Manually via Click and Drop.

  • The sensor application is created between Sensor 1 and 6 from set traffic tab from top ribbon.

  • Packet trace is enabled from the configure reports tab.

  • Simulation time is set to 100 sec.

Results: Open the packet trace and observe the data flow. Sensor 1 sends packets directly to Sinknode 6.

_images/Figure-49.png

Figure-49: NetSim packet trace showing packet flow for case 1 - Without static routing.

Case 01: With Static Route

Settings done in the network.

  • For the above sample (without static route), we have configured the static routes for sensors. The following steps explain how to configure static routes.

Configuring Static Routes

  • Click on the wireless sensor 1. In the right property panel, go to the network layer under IPv4 and enable Static IP Route.

  • Then, click on via GUI in Configure Static IP Route and set the Network Destination, Gateway, Subnet Mask, Metrics, and Interface ID as shown in the screenshot below. click add and then OK.

_images/Figure-50.png

Figure-50: Static IP Routing Configuring window.

Similarly, configure static routes for other sensors as follows

Device

Network Destination

Gateway

Subnet Mask

Metrics

Interface ID

Wireless Sensor 1

192.168.0.7

192.168.0.3

255.255.255.0

1

1

Wireless Sensor 2

192.168.0.7

192.168.0.4

255.255.255.0

1

1

Wireless Sensor 3

192.168.0.7

192.168.0.5

255.255.255.0

1

1

Wireless Sensor 4

192.168.0.7

192.168.0.6

255.255.255.0

1

1

Wireless Sensor 5

192.168.0.7

192.168.0.7

255.255.255.0

1

1

Table-9: Static Route Configuration for Sensors

  • After setting the properties click on run simulation for 100 sec.

Results

Open the packet trace and observe the packet flow. The data will be transmitted according to the statically configured routes.

SENSOR 1 🡪 SENSOR 2 🡪 SENSOR 3 🡪 SENSOR 4 🡪 SENSOR 5 🡪 SINK NODE

_images/Figure-51.png

Figure-51: NetSim packet trace showing packet flow for case 2- With static routing

Analysing throughput, latency and energy consumption as we scale the number of sensors

We examine a scenario in which sensors are arranged in a circular configuration around a central sink, with all sensors positioned within the carrier sense range of each other. As the number of sensors increases, we analyse throughput, latency, and energy consumption in ZigBee’s (802.15.4) beaconless and beacon enabled modes across different packet sizes.

Network Layout

_images/Figure-52.png

Figure 4 52: Schematic of network layout. In all cases the sensors are 75m from the sink. (A) Scenario with 2 sensors and sink node (SN), (B) Scenario with 10 sensors and a sink, (C) Scenario with 20 sensors and a sink node. The sources of traffic are Sensor 1 (S1), Sensor 2 (S2), Sensor 3 (S3) etc. and the destination is the Sink Node (SN). The transmission range of the sensors is 177m and while the carrier sense range is 223m.

Network Scenario

Open NetSim, Select Examples > IOT-WSN > Wireless Sensor Networks > Analyzing throughput, latency and energy consumption as we scale the number of sensors > Analyzing Throughput, Latency, and Energy Consumption in Beacon-Disabled Mode and then click on the tile in the middle panel to load the example as shown Figure-53.

_images/Figure-53.png

Figure-53: List of scenarios for the example of Analyzing Throughput, Latency, and Energy Consumption in Beacon-Disabled Mode.

The following network diagram illustrates what the NetSim UI displays when you open the example configuration file.

_images/Figure-54.png

Figure-54: Network scenario modelled in NetSim. This scenario consists of 2 sensors and 1 sink node where the distance between every sensor and the sink node is 75m.

Case 1:

  1. Create a scenario with 2 Sensor nodes and 1 Sink nodes.

  2. Distance between the sensors and sink nodes should be 75m.

  3. Click on Sink node and expand the property panel on right side and disable the beacon mode in datalink layer of Interface (Zigbee) properties.

Device Properties

Network layer properties

Routing protocol

DSR

Interface (Wireless) properties

Physical layer properties

ED Threshold (dBm)

-87

Power

Battery

Table-10: Device properties for sensors

  1. Similarly repeat this step for all other sensors.

  2. Configure the Static Route from Sensors to Sink Node as shown below.

  1. Static routes were configured in each source node such that the data gets transmitted directly from source to destination without any dynamic route formation by the routing protocols.

  2. Static routes (whereby N_i always transmits to N_((i+1)) ) are set to ensure single hop transmission. Thereby each node transmits data to the next-hop node according to the topology.

  3. To set the static routes, go to Wireless Sensor properties > Network Layer > Enable Static Route IP and click on Configure static route via GUI and update as below.

_images/Figure-55.png

Figure-55: Static route configuration for sensor 1

  1. The Static route IP were configured in Wireless Sensor 1, Wireless Sensor 2, Wireless Sensor 3 etc. and Wireless Sensor 20 as shown below:

Device

Network Destination

Gateway

Subnet Mask

Metrics

Interface ID

Wireless Sensor 1

192.168.0.1

192.168.0.1

255.255.255.255

1

1

Wireless Sensor 2

192.168.0.1

192.168.0.1

255.255.255.255

1

1

Wireless Sensor 3

192.168.0.1

192.168.0.1

255.255.255.255

1

1

Wireless Sensor 4

192.168.0.1

192.168.0.1

255.255.255.255

1

1

Wireless Sensor i

192.168.0.1

192.168.0.1

255.255.255.255

1

1

Wireless Sensor 20

192.168.0.1

192.168.0.1

255.255.255.255

1

1

Table-11: Static route configured in devices.

  1. Create a CUSTOM application from Sensor to Sink Node by clicking on set traffic tab from the ribbon on the top. Click on created application and expand application property on right panel, set packet size to 50 bytes and Inter arrival time to100000 µs.

  2. Run the Simulation for 1000 seconds.

  3. Similarly increase the number of nodes to 4, 6, 8, 10, 12, 14, 16,18, 20 and record the results.

Results

Case 1: Beacon Mode Disable (Low Latency)

Results for throughput and latency can be observed from the application metrics window of simulation results window and to observe transmit energy, receive energy and idle energy, click on additional metrics in the left and scroll down to the battery model metrics.

_images/Figure-56.png

Figure-56: Observe battery model metrics from NetSim simulation results window.

Number of sensor nodes

Avg. Transmit Energy (mJ)

Avg. Receive Energy (mJ)

Avg. Idle Energy (mJ)

Average Throughput (Mbps)

Aggregate Throughput (Mbps)

Average Latency (Delay) (µs)

2

1860.16

0.00

11517.82

0.0035

0.0070

6768

4

1829.45

0.00

11523.87

0.0032

0.0128

10566

6

1726.93

0.00

11543.78

0.0028

0.0167

12927

8

1596.88

0.00

11569.16

0.0024

0.0190

14317

10

1476.38

0.00

11592.55

0.0020

0.0204

15255

12

1377.65

0.00

11611.73

0.0017

0.0208

15999

14

1298.89

0.00

11626.97

0.0015

0.0209

16651

16

1228.78

0.00

11640.55

0.0013

0.0210

17190

18

1174.44

0.00

11651.14

0.0012

0.0208

17683

20

1127.08

0.00

11660.36

0.0010

0.0203

18167

Table-12:NetSim results for simulations of case 1.

Figure 57

Figure-57:Plot for Throughput (Mbps) vs Number of Nodes. Beacon Mode is Disabled.

Figure 58

Figure-58: Plot for Energy (mJ) vs Number of Nodes. Beacon Mode is Disabled.

_images/Figure-59.png

Figure-59: Plot for Latency (µs) vs Number of Nodes. Beacon Mode is Disabled.

Discussion

The aggregate throughput increases initially but then decreases by increasing the number of nodes. The initial increase is because for small number-of-nodes the contention is less and increasing the node count increases the channel utilization.

With beacon mode disabled, all nodes remain active throughout the simulation, constantly ready to receive or transmit data. The transmitting energy per node decreases as more nodes are added to the network, which is due to the distribution of transmissions among more sensors. However, this operational mode results in a high average idle energy as nodes consume power even when they are not actively transmitting data.

This transmission mode is suitable for applications that prioritize low latency over energy efficiency.

Network scenario

Open NetSim, Select Examples > IOT-WSN->Wireless Sensor Networks > Analyzing throughput, latency and energy consumption as we scale the number of sensors > Analyzing Throughput, Latency, and Energy Consumption in Beacon-Enabled Mode for Energy Efficiency then click on the tile in the middle panel to load the example as shown in Figure-60.

_images/Figure-60.png

Figure-60: List of scenarios for the example of Analyzing Throughput, Latency, and Energy Consumption in Beacon-Enabled Mode for Energy Efficiency.

Case 2:

  1. Consider the same scenario as Case 1

  2. Go to Sink Node > Interface ZIGBEE > Datalink Layer, Set the Beacon Mode to Enable and Set the Beacon Order to 12 and Super frame Order 10.

  3. Run the Simulation for 1000 seconds.

Results

Number of sensor nodes

Avg. Transmit Energy (mJ)

Avg. Receive Energy (mJ)

Avg. Idle Energy (mJ)

Avg. Sleep Energy (mJ)

Average Throughput (Mbps)

Aggregate Throughput (Mbps)

Average Latency (Delay) (µs)

2

1703.73

0.2831

2658.87

638.39

0.0032

0.0065

20442177

4

1479.89

0.2831

2702.32

638.39

0.0025

0.0098

20668437

6

1282.07

0.2831

2740.72

638.39

0.0019

0.0114

20627134

8

1137.54

0.2831

2768.78

638.39

0.0015

0.0118

20497185

10

1028.29

0.2831

2789.99

638.39

0.0012

0.0116

20454173

12

949.96

0.2831

2805.19

638.39

0.0009

0.0113

20261225

14

883.15

0.2831

2818.16

638.39

0.0008

0.0107

20173343

16

832.50

0.2831

2827.99

638.39

0.0006

0.0102

19829588

18

792.54

0.2831

2835.75

638.39

0.0005

0.0097

19779115

20

756.68

0.2831

2842.71

638.39

0.0005

0.0092

19432628

Table-13: NetSim results for simulations of case 2.

Figure 57

Figure-61: Plot for Throughput (Mbps) vs Number of Nodes. Beacon Mode is Enabled.

Figure 58

Figure-62: Plot for Energy (mJ) vs Number of Nodes. Beacon Mode is Enabled.

_images/Figure-63.png

Figure-63:Latency(µs) vs Number of Nodes. Beacon Mode is Enabled.

Discussion

Case 2 introduces beacon-enabled mode in the network, significantly altering energy consumption patterns and network performance. When beacon mode is enabled, nodes in the network operate with defined periods for active and sleep states. Nodes wake up at specific beacon intervals to transmit and receive data, and then go back to sleep. This operation significantly reduces the average idle energy consumption because nodes are not constantly powered on waiting to receive or transmit data. Instead, they spend a substantial portion of time in the low-power sleep state, which is reflected in the sleep energy metrics in the results.

However, this also introduces a substantial increase in average latency, as nodes must wait for their turn to transmit during the beacon intervals, leading to delays in packet forwarding. This is reflected in the latency values, which are orders of magnitude higher than in Case 1. Throughput slightly decreases compared to Case 1, is due to the time spent in low-power states, reducing the effective transmission time.

This transmission mode is suitable for applications that prioritize energy efficiency over latency.

Network scenario

Open NetSim, Select Examples > IOT-WSN > Wireless Sensor Networks > Analyzing throughput, latency and energy consumption as we scale the number of sensors > Effect of Packet Size vs Energy Consumption then click on the tile in the middle panel to load the example as shown in Figure-64.

_images/Figure-64.png

Figure-64: List of scenarios for the example of Effect of Packet Size vs Energy Consumption.

Case 3: Effect of Packet Size vs Energy Consumption

  1. Consider the same scenario as Case-2

  2. Create a CUSTOM Application with Source ID as Sensor and Destination ID as Sink Node, with the Packet Size 20 Bytes and Inter Arrival Time 100000 µs.

  3. Run the Simulation for 1000 seconds.

  4. Record the results from results dashboard.

  5. Similarly vary the packet size in application to 60B and 100B respectively.

  6. Rerun the simulation for 1000 seconds. Record the results from the results dashboard.

Results

Number of sensor nodes

Packet Size (B)

Avg. Transmit Energy (mJ)

Avg. Receive Energy (mJ)

Avg. Idle Energy (mJ)

Avg. Sleep Energy (mJ)

Average Throughput (Mbps)

Aggregate Throughput (Mbps)

Average Latency (Delay) (µs)

2

20

1200.53

0.28

2756.56

638.4

0.0014

0.0028

20319671

4

20

1142.49

0.28

2767.83

638.4

0.0012

0.0047

21071912

6

20

1081.05

0.28

2779.75

638.4

0.001

0.0061

21440249

8

20

1023.47

0.28

2790.93

638.4

0.0009

0.0071

21903767

10

20

969.01

0.28

2801.5

638.4

0.0008

0.0078

22150841

12

20

919.89

0.28

2811.04

638.4

0.0007

0.0083

22737334

14

20

879.28

0.28

2818.92

638.4

0.0006

0.0084

22943219

16

20

839.94

0.28

2826.55

638.4

0.0005

0.0084

23845867

18

20

790.46

0.28

2836.16

638.4

0.0005

0.0082

33464665

20

20

746.35

0.28

2844.72

638.4

0.0004

0.0079

44959110

2

60

1898.03

0.28

2621.16

638.4

0.004

0.0081

20736084

4

60

1731.53

0.28

2653.48

638.4

0.0034

0.0135

21670506

6

60

1569.88

0.28

2684.86

638.4

0.0028

0.017

22822081

8

60

1424.32

0.28

2713.12

638.4

0.0024

0.0191

23630100

10

60

1223.77

0.28

2752.05

638.4

0.0019

0.0191

53919154

12

60

1074.47

0.28

2781.03

638.4

0.0016

0.0188

79323930

14

60

967.4

0.28

2801.81

638.4

0.0013

0.0185

95181466

16

60

885.83

0.28

2817.65

638.4

0.0011

0.0181

107682323

18

60

821.14

0.28

2830.21

638.4

0.001

0.0175

115764304

20

60

770.42

0.28

2840.05

638.4

0.0009

0.017

123905731

2

100

2556.55

0.28

2493.33

638.4

0.0067

0.0134

21258705

4

100

2231.26

0.28

2556.48

638.4

0.0053

0.0211

22658685

6

100

1919.71

0.28

2616.95

638.4

0.0042

0.0252

27512241

8

100

1545.9

0.28

2689.52

638.4

0.0031

0.025

73068592

10

100

1310.88

0.28

2735.14

638.4

0.0025

0.0246

100074374

12

100

1151.74

0.28

2766.03

638.4

0.002

0.0241

118197099

14

100

1035.23

0.28

2788.65

638.4

0.0017

0.0234

129367238

16

100

944.31

0.28

2806.3

638.4

0.0014

0.0229

138470037

18

100

876.48

0.28

2819.46

638.4

0.0012

0.0221

145188141

20

100

819.23

0.28

2830.58

638.4

0.0011

0.0214

150341336

Table-14: Results table of Case-3.

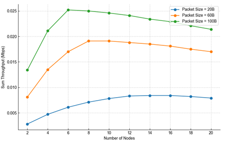
_images/Figure-65.png

Figure-65: Plot for Sum Throughput (Mbps) vs Number of Nodes with different packet size.

_images/Figure-66.png

Figure-66:Plot for Energy (mJ) vs Number of Nodes with different packet size.

Discussion

Table-14 presents detailed metrics for energy consumption, throughput, and latency across various numbers of nodes and packet sizes (20B, 60B, and 100B).

  • Throughput Observations:

  • Average Throughput: This metric decreases with the increase in the number of nodes for all packet sizes. A more nodes are added, the data transmission per node reduces, due to increased contention and collisions on the network.

  • Aggregate Throughput: In contrast to average throughput, aggregate throughput increases initially as the number of nodes increases but then starts to decrease as further nodes are added. The initial increase is because for small number-of-nodes the contention is less and increasing the node count increases the channel utilization. However, beyond a threshold with more nodes, the likelihood of collisions increases due to more frequent attempts to access the channel simultaneously.

  • Energy Consumption Observations:

  • Transmit Energy: Average transmit energy decreases as the number of nodes increases. This is due to the distribution of transmissions among more nodes.

  • Receive and Sleep energy: Receive energy and sleep remains relatively consistent across different numbers of nodes and packet size increases. This indicates that the receive and sleep mode energy consumption is not dependent on the network size or the packet size but is dependent on the node's configuration (hardware) settings.

  • Insights:

  • Packet Size Efficiency: Larger packet sizes lead to more effective use of the network capacity, as observed by increase in aggregate throughput with packet size. Larger packets can better amortize the overheads of transmission, leading to improved application throughputs.

  • Energy vs. Throughput Trade-offs: There is an observable trade-off between energy consumption and throughput. While larger packets improve throughput, they also require more transmit energy. Conversely, while smaller packets lead to lower transmit energy, they achieve lower throughput.

Previous Next

© Copyright 2025, TETCOS LLP.

Built with Sphinx using a theme provided by Read the Docs.